您现在的位置: test4exam >> 历年真题 >> 计算机等级考试 >> 正文
选择题(每小题2分,共70分)
下列各题A)、B)、C)、D)四个选项中,只有一个选项是正确的。请将正确选项填涂在答题卡相应位置上,答在试卷上不得分。
(1)下列选项中不符合良好程序设计风格的是
A) 源程序要文档化 B) 数据说明的次序要规范化
C) 避免滥用goto语句 D) 模块设计要保证高耦合、高内聚
(2)从工程管理角度,软件设计一般分为两步完成,它们是
A) 概要设计与详细设计 B) 数据设计与接口设计
C) 软件结构设计与数据设计 D) 过程设计与数据设计
(3)下列选项中不属于软件生命周期开发阶段任务的是
A)软件测试 B)概要设计 C)软件维护 D)详细设计
(4)在数据库系统中,用户所见的数据模式为
A) 概念模式 B)外模式 C)内模式 D)物理模式
(5)数据库设计的四个阶段是:需求分析、概念设计、逻辑设计和
A) 编码设计 B) 测试阶段 C)运行阶段 D)物理设计
(6)设有如下三个关系表
|
|
R |
|
S |
|
|
T |
|
| |
|
|
A |
|
B |
C |
|
A |
B |
C |
|
|
|
m |
|
1 |
3 |
|
m |
1 |
3 |
|
|
|
n |
|
|
|
|
n |
1 |
3 |
|
|
|
|
|
|
|
|
|
|
|
|
下列操作中正确的是
A)T=R∩S B)T=R∪S
C)T=R×S D)T=R/S
(7)下列叙述中正确的是
A)一个算法的空间复杂度大,则其时间复杂度也必定大
B)一个算法的空间复杂度大,则其时间复杂度必定小
C)一个算法的时间复杂度大,则其空间复杂度必定小
D)上述三种说法都不对
(8)在长度为64的有序线性表中进行顺序查找,最坏情况下需要比较的次数为
A)63 B)
(9)数据库技术的根本目标是要解决数据的
A)存储问题 B)共享问题 C)安全问题 D)保护问题
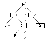
(10)对下列二叉树
|
F |
|
C |
|
D |
|
E |
|
A |
|
G |
|
B |

进行中序遍历的结果是
A)ACBDFEG B)ACBDFGE C)ABDCGEF D)FCADBEG
(11)以下叙述中正确的是
A)窗体的Name 属性指定窗体的名称,用来标识一个窗体
B)窗体的Name 属性值是显示在窗体标题栏中的文本
C)可以在运行期间改变窗体的Name 属性的值
D)窗体的Name 属性值可以为空
(12)以下叙述中错误的是
A)打开一个工程文件时,系统自动装入与该工程有关的窗体文件
B)保存Visual Basic程序时,应分别保存窗体文件及工程文件
C)Visual Basic应用程序只能以解释方式执行
D)窗体文件包含该窗体及其控件的属性
(13)设a = 2, b = 3, c = 4, 下列表达式的值是
Not a <= c Or 4*c = b^2 And b <> a + c
A)-1 B)
(14)设有如下的用户定义类型:
Type Student
number As String
name As String
age As Integer
End Type
则以下正确引用该类型成员的代码是
A)Student.name = "李明" B)Dim s As Student
s.name = "李明"
C)Dim s As Type Student D)Dim s As Type
s.name = "李明" s.name = "李明"
(15)设a = 5,b = 6,c = 7,d = 8,执行下列语句后,x的值为
x = IIf((a > b) And (c > d), 10, 20)
A)10 B)
(16)执行以下程序段后,变量c$的值为
a$ = "Visual Basic Programming"
b$ = "Quick"
c$ = b$ & UCase(Mid$(a$, 7, 6)) & Right$(a$, 12)
A)Visual BASIC Programming B)Quick Basic Programming
C)QUICK Basic Programming D)Quick BASIC Programming
(17)在窗体上画一个文本框(其名称为Text1)和一个标签(其名称为Label1),程序运行后,如果在文本框中输入指定的信息,则立即在标签中显示相同的内容。以下可以实现上述操作的事件过程是
A)Private Sub Text1_Click() B)Private Sub Text1_Change()
Label1.Caption = Text1.Text Label1.Caption = Text1.Text
End Sub End Sub
C)Private Sub Label1_Change() D)Private Sub Label1_Click()
Label1.Caption = Text1.Text Label1.Caption = Text1.Text
End Sub End Sub
(18)在窗体上画一个命令按钮和一个标签,其名称分别为Command1和Label1,然后编写如下事件过程:
Private Sub Command1_Click()
Counter = 0
For i = 1 To 4
For j = 6 To 1 Step -2
Counter = Counter + 1
Next j
Next i
Label1.Caption = Str(Counter)
End Sub
程序运行后,单击命令按钮,标签中显示的内容是
A) 11 B)
(19)在窗体上画一个名称为Text1的文本框和一个名称为Command1的命令按钮,然后编写如下事件过程:
Private Sub Command1_Click()
Dim i As Integer, n As Integer
For i = 0 To 50
i = i + 3
n = n + 1
If i > 10 Then Exit For
Next
Text1.Text = Str(n)
End Sub
程序运行后,单击命令按钮,在文本框中显示的值是
A)5 B)
(20)在窗体上画一个命令按钮和两个标签,其名称分别为Command1、Label1和Label2,然后编写如下事件过程:
Private Sub Command1_Click()
a = 0
For i = 1 To 10
a = a + 1
b = 0
For j = 1 To 10
a = a + 1
b = b + 2
Next j
Next i
Label1.Caption = Str(a)
Label2.Caption = Str(b)
End Sub
程序运行后,单击命令按钮,在标签Label1和Label2中显示的内容分别是
A)10和20 B)20和
(21)在窗体上画一个名称为List1的列表框,一个名称为Label1的标签,列表框中显示若干城市的名称。当单击列表框中的某个城市名时,该城市名从列表框中消失,并在标签中显示出来。下列能正确实现上述操作的程序是
A)Private Sub List1_Click() B)Private Sub List1_Click()
Label1.Caption = List1.ListIndex Label1. Name = List1. ListIndex
List1.RemoveItem List1.Text List1.RemoveItem List1.Text
End Sub End Sub
C)Private Sub List1_Click() D)Private Sub List1_Click()
Label1.Caption = List1.Text Label1.Name = List1.Text
List1.RemoveItem List1.ListIndex List1.RemoveItem List1.ListIndex
End Sub End Sub
(22)在窗体上画一个名称为Command1的命令按钮,然后编写如下程序:
Private Sub Command1_Click()
Dim i As Integer, j As Integer
Dim a(10, 10) As Integer
For i = 1 To 3
For j = 1 To 3
a(i, j) = (i - 1) * 3 + j
Print a(i, j);
Next j
Print
Next i
End Sub
程序运行后,单击命令按钮,窗体上显示的是
|
|
A) |
1 2 3 |
B) |
2 3 4 |
C) |
1 4 7 |
D) |
1 2 3 |
|
|
|
|
2 4 6 |
|
3 4 5 |
|
2 5 8 |
|
4 5 6 |
|
|
|
|
3 6 9 |
|
4 5 6 |
|
3 6 9 |
|
7 8 9 |
|
(23)在窗体上画一个命令按钮,名称为Command1,然后编写如下代码:
Option Base 0
Private Sub Command1_Click()
Dim A(4) As Integer,B(4) As Integer
For k = 0 To 2
A(k + 1) = InputBox("请输入一个整数")
B(3 - k) = A(k + 1)
Next k
Print B(k)
End Sub
程序运行后,单击命令按钮,在输入对话框中分别输入2、4、6,输出结果为
A)0 B)
(24)有以下程序:
Option Base 1
Dim arr() As Integer
Private Sub Form_Click()
Dim i As Integer, j As Integer
ReDim arr(3, 2)
For i = 1 To 3
For j = 1 To 2
arr(i, j) = i * 2 + j
Next j
Next i
ReDim Preserve arr(3, 4)
For j = 3 To 4
arr(3, j) = j + 9
Next j
Print arr(3, 2); arr(3, 4)
End Sub
程序运行后,单击窗体,输出结果为
A)8 13 B)0
(25)以下叙述中正确的是
A)一个Sub过程至少要有一个Exit Sub语句
B)一个Sub过程必须有一个End Sub语句
C)可以在Sub过程中定义一个Function过程,但不能定义Sub过程
D)调用一个Function过程可以获得多个返回值
(26)有以下程序:
Sub subP(b() As Integer)
For i = 1 To 4
b(i) = 2 * i
Next i
End Sub
Private Sub Command1_Click()
Dim a(1 To 4) As Integer
a(1) = 5
a(2) = 6
a(3) = 7
a(4) = 8
subP a()
For i = 1 To 4
Print a(i)
Next i
End Sub
运行上面的程序,单击命令按钮,输出结果为
|
A) |
2 |
B) |
5 |
C) |
10 |
D) |
出错 |
|
|
4 |
|
6 |
|
12 |
|
|
|
|
6 |
|
7 |
|
14 |
|
|
|
|
8 |
|
8 |
|
16 |
|
|
(27)设有如下通用过程:
Public Function Fun(xStr As String) As String
Dim tStr As String, strL As Integer
tStr = ""
strL = Len(xStr)
i = 1
Do While i <= strL / 2
tStr = tStr & Mid(xStr, i, 1) & Mid(xStr, strL - i + 1, 1)
i = i + 1
Fun = tStr
End Function
在窗体上画一个名称为Text1的文本框和一个名称为Command1的命令按钮。然后编写如下的事件过程:
Private Sub Command1_Click()
Dim S1 As String
S1 = "abcdef"
Text1.Text = UCase(Fun(S1))
End Sub
程序运行后,单击命令按钮,则Text1中显示的是
A)ABCDEF B)abcdef C)AFBECD D)DEFABC
(28)在窗体上画一个名称为TxtA的文本框,然后编写如下的事件过程:
Private Sub TxtA_KeyPress(KeyAscii As Integer)
......
End Sub
假定焦点已经位于文本框中,则能够触发KeyPress事件的操作是
A)单击鼠标 B)双击文本框
C)鼠标滑过文本框 D)按下键盘上的某个键
(29)在窗体上画一个命令按钮和两个文本框,其名称分别为Command1、Text1和Text2,然后编写如下程序:
Dim S1 As String, S2 As String
Private Sub Form_Load()
Text1.Text = ""
Text2.Text = ""
End Sub
Private Sub Text1_KeyDown(KeyCode As Integer, Shift As Integer)
S2 = S2 & Chr(KeyCode)
End Sub
Private Sub Text1_KeyPress(KeyAscii As Integer)
S1 = S1 & Chr(KeyAscii)
End Sub
Private Sub Command1_Click()
Text1.Text = S2
Text2.Text = S1
S1 = ""
S2 = ""
End Sub
程序运行后,在Text1中输入“abc”,然后单击命令按钮,在文本框Text1和Text2中显示的内容分别为
A)abc和ABC B)abc和abc C)ABC和abc D)ABC和ABC
(30)以下说法中正确的是
A)任何时候都可以通过执行“工具”菜单中的“菜单编辑器”命令打开菜单编辑器
B)只有当某个窗体为当前活动窗体时,才能打开菜单编辑器
C)任何时候都可以通过单击标准工具栏上的“菜单编辑器”按钮打开菜单编辑器
D)只有当代码窗口为当前活动窗口时,才能打开菜单编辑器
(31)在窗体上画一个通用对话框,其名称为CommonDialog1,然后画一个命令按钮,并编写如下事件过程:
Private Sub Command1_Click()
CommonDialog1.Filter = "All Files (*.*)|*.*|Text Files" & _
"(*.txt)|*.txt| Executable Files(*.exe)|*.exe"
CommonDialog1.FilterIndex = 3
CommonDialog1.ShowOpen
MsgBox CommonDialog1.FileName
End Sub
程序运行后,单击命令按钮,将显示一个“打开”对话框,此时在“文件类型”框中显示的是
A)All Files(*.*) B)Text Files(*.txt)
C)Executable Files(*.exe) D)不确定
(32)以下叙述中错误的是
A)一个工程中可以包含多个窗体文件
B)在一个窗体文件中用Public定义的通用过程不能被其他窗体调用
C)窗体和标准模块需要分别保存为不同类型的磁盘文件
D)用Dim定义的窗体层变量只能在该窗体中使用
(33)以下叙述中错误的是
A)语句“Dim a, b As Integer”声明了两个整型变量
B)不能在标准模块中定义Static型变量
C)窗体层变量必须先声明,后使用
D)在事件过程或通用过程内定义的变量是局部变量
(34)设有语句:Open "d:\Test.txt" For Output As #1 ,以下叙述中错误的是
A)若d盘根目录下无Test.txt文件,则该语句创建此文件
B)用该语句建立的文件的文件号为1
C)该语句打开d盘根目录下一个已存在的文件Test.txt,之后就可以从文件中读取信息
D)执行该语句后,就可以通过Print #语句向文件Test.txt中写入信息
(35)以下叙述中错误的是
A)顺序文件中的数据只能按顺序读写
B)对同一个文件,可以用不同的方式和不同的文件号打开
C)执行Close语句,可将文件缓冲区中的数据写到文件中
D)随机文件中各记录的长度是随机的
上一篇:全国计算机等级考试二级笔试样卷Visual FoxPro数据库程序设计
下一篇:没有了
Copyright ©2013-2015 江浙沪招生考试网 All Rights Reserved.
地址: 苏州市姑苏区阊胥路483号(工投创业园) 电话:0512-85551931 邮编: 214000
邮箱: [email protected] 版权所有:苏州迈峰教育科技有限公司 苏ICP备2025214950号